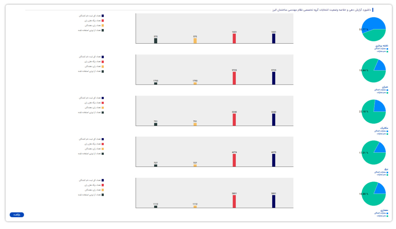
اعلام نتایج انتخابات گروه‌های تخصصی سازمان نظام مهندسی ساختمان استان ها

نخستین دوره انتخابات الکترونیک هیئت‌رئیسه گروه‌های تخصصی سازمان‌های نظام مهندسی ساختمان استان‌ها با هدف تقویت مشارکت اعضا، ارتقای شفافیت فرآیندها و تسهیل دسترسی مهندسان به سازوکارهای تصمیم‌سازی، برگزار شد.

×